オンライン平方根計算機。. xの平方根を計算します。. xの平方根は、次の式で与えられます。. √ X = R. 入力番号(x)を入力し、 = ボタンを押します。. √.. 東大塾長の山田です。 このページでは、「ルートの分数の有理化のやり方」について解説します。 「有理化の基本」から、「複雑な分数の有理化」まで、例題を解きながら丁寧に分かりやすく解説していきます。 「基本的なことはわかってる!」という方は、「

ルートの中にマイナスがあるときの計算はどうやる!? 解 の 公式 ルート の 中 が マイナスに関するコンテンツを最も完全にカバーする

【数学小話】いろいろ拡張しよう マイナス2分の1乗とは? 日比谷高校のススメ

サイン コサイン

分数の分数乗 すべての最も詳細なドキュメント乗数 分数

2年 分数1「二分の一とは」 YouTube

無限降下法とは?【フェルマーの最終定理などの応用例3選を解説】 遊ぶ数学

ルートの中に2乗があるとき 大学受験の王道

わかりやすい三角比と基本公式 Irohabook

分数、小数、ルートを含む二次方程式の解き方まとめ! 数スタ

分数、小数、ルートを含む二次方程式の解き方まとめ! 数スタ

ルートの足し算・引き算をイチから解説! ルート 引き算に関するコンテンツの概要最も正確

【高校数学Ⅰ】二重根号(ルートの中にルート) 外し方一覧 学校よりわかりやすいサイト

ルートの掛け算・割り算のやり方をイチから! YouTube

【数学】中321 ルートの計算のまとめ ルート 計算 分数に関連するすべての知識は最高です

無理関数とは?グラフの書き方・不等式・微分積分を解説! 受験辞典

落としどころは2分のルート2

三角関数のグラフの書き方を徹底解説!平行移動や周期の問題も 受験辞典

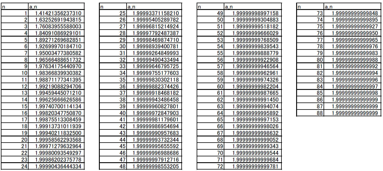
高校数学の発展 ルート2のルート2乗のルート2乗のルート2乗の・・・

「ルート2乗」とは何か?【高校教科書の指数拡張の話】 すべての知識はルート 2 はに関する最も詳細なものです

【数学】中318 ルートのかけ算・わり算 YouTube
2の2分の1乗や8の3分の1乗など、分数乗の計算方法について、具体例を使って説明します。 $2^{\frac{1}{2}}$、$8^{\frac{1}{3}}$ など、指数が分数の形であるような数の計. それぞれ詳しく解説していきます。 1.ルートの中の簡単化. 平方根には 「ルートの中はできるだけ小さい自然数にする」 というルールがあります。. ルートの中の数字が「自然数の2乗の因数(約数)」をもつなら、その自然数を外にだすことができるので、この性質を利用してルートの中を.