Outros nomes: Estimativa da taxa de filtração glomerular, Estimativa da filtração glomerular, Estimativa da depuração da creatinina, Estimativa do clearance de creatinina, Cálculo da depuração de creatinina, Cálculo do clearance de creatinina, Depuração da creatinina calculada, Clearance de creatinina calculada, Fórmula de CKD-EPI, CKD-EPI, MDRD, Cockcroft-Gault. Calculadoras Nefrológicas - SBN

Fisiologia Renal 07 As arteríolas e a Taxa de Filtração Glomerular YouTube

(eGFR) Glomerular Filtration Rate estimation YouTube

TAXA DE FILTRAÇÃO GLOMERULAR (EXAME DE LABORATÓRIO ) FISIOLOGIA RENAL CLEARANCE RENAL YouTube

Filtração Glomerular Urinário aprendendofisiologia

Qual A Taxa De Filtração Glomerular Normal ENSINO

como calcular la Tasa de filtrado glomerular YouTube

Filtração Glomerular Parte 1 YouTube

O Que é Taxa De Filtração Glomerular EDULEARN

MÓDULO 3 Aula 8 Filtração Glomerular YouTube

37+ taxa de filtração glomerular calculo DanahAoifee

O Que é Taxa De Filtração Glomerular EDULEARN

Como Calcular La Tasa De Filtrado Glomerular Formula Printable Templates Free

Formula Para Calcular El Filtrado Glomerular Printable Templates Free

37+ taxa de filtração glomerular calculo DanahAoifee

O Que é Taxa De Filtração Glomerular EDULEARN

Uso de formulas para el calculo de la tasa de filtrado glomerular

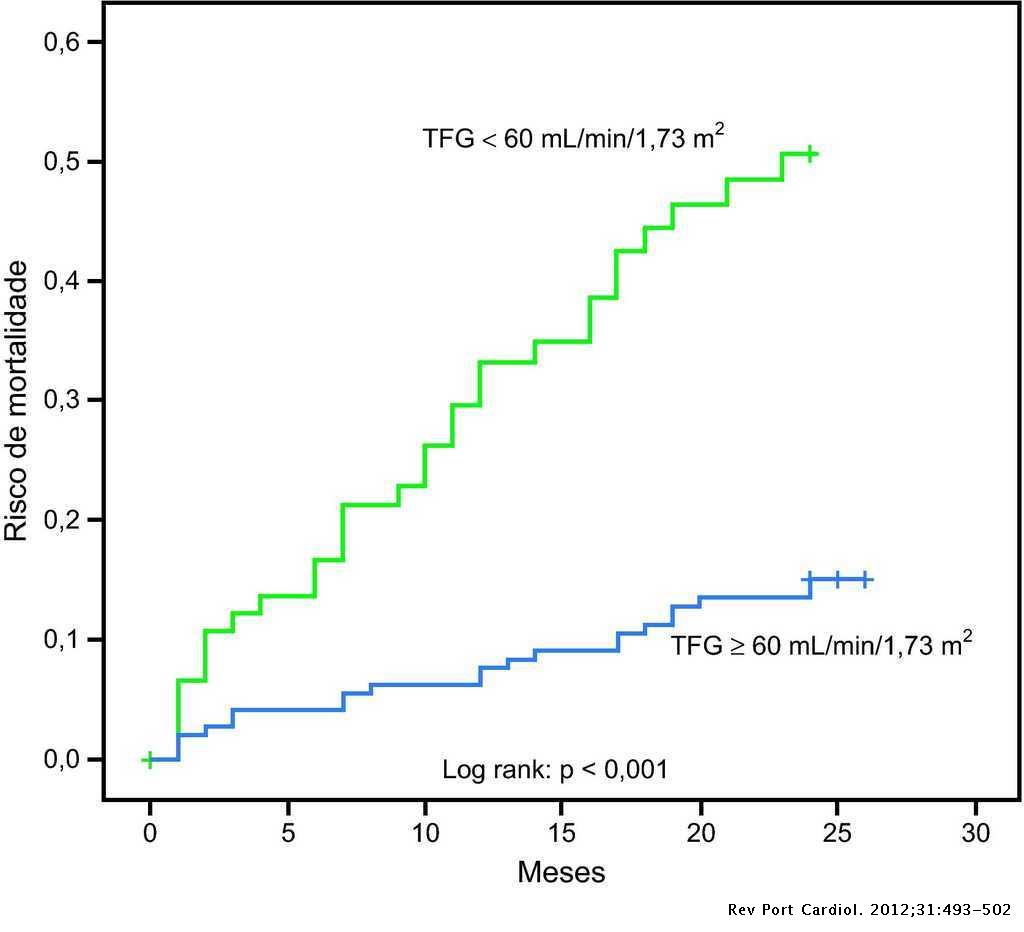
Taxa de filtração glomerular que fórmula deverá ser usada em doentes com enfarte agudo do

Taxa de Filtração Glomerular (TFG) Interpretação de Exame Clearance de Creatinina

Filtração glomerular ( Fisiologia Renal ) Introduçã ‣ Ocorre no corpúsculo renal (glomérulo

Estimated Glomerular Filtration Rate (eGFR) National Kidney Foundation
Nesta página disponibilizamos a nossa Calculadora online usando a Equação CKD-EPI para calcular a Taxa de Filtração Glomerular (TFG). A TFG é uma medida crítica da saúde renal, e sua estimativa é fundamental para diagnósticos e tratamentos precisos. Com esta calculadora, você pode rapidamente avaliar a sua função renal.. Entre 50 e 59 anos: 93 mL/min/1,73m²; Entre 60 e 69 anos: 85 mL/min/1,73m²; A partir dos 70 anos: 75 mL/min/1,73m². Além disso, os valores de TFG podem variar de acordo com o fato da pessoa ser ou não afrodescendente, sendo os valores considerados normais para ambos os casos superior a 90 mL/min/1,73m². Os valores podem variar de acordo.