【高3/10月】「全統模試・記述」対策・予想問題「指数関数」1⃣【動画あり】です。 指数の重要テクニックをてんこ盛りに盛りました! 重要公式、重要解法ばかりです!. 全統模試を主催する河合塾には、以下の特徴があります。. (1)講師のレベルが高く入試分析レベルが高い. (2)授業時間は90分と150分、大学の講義に近い(一部75分の授業もある). (3)受ける授業をチューターが提案、大手予備校でありながら自分に.

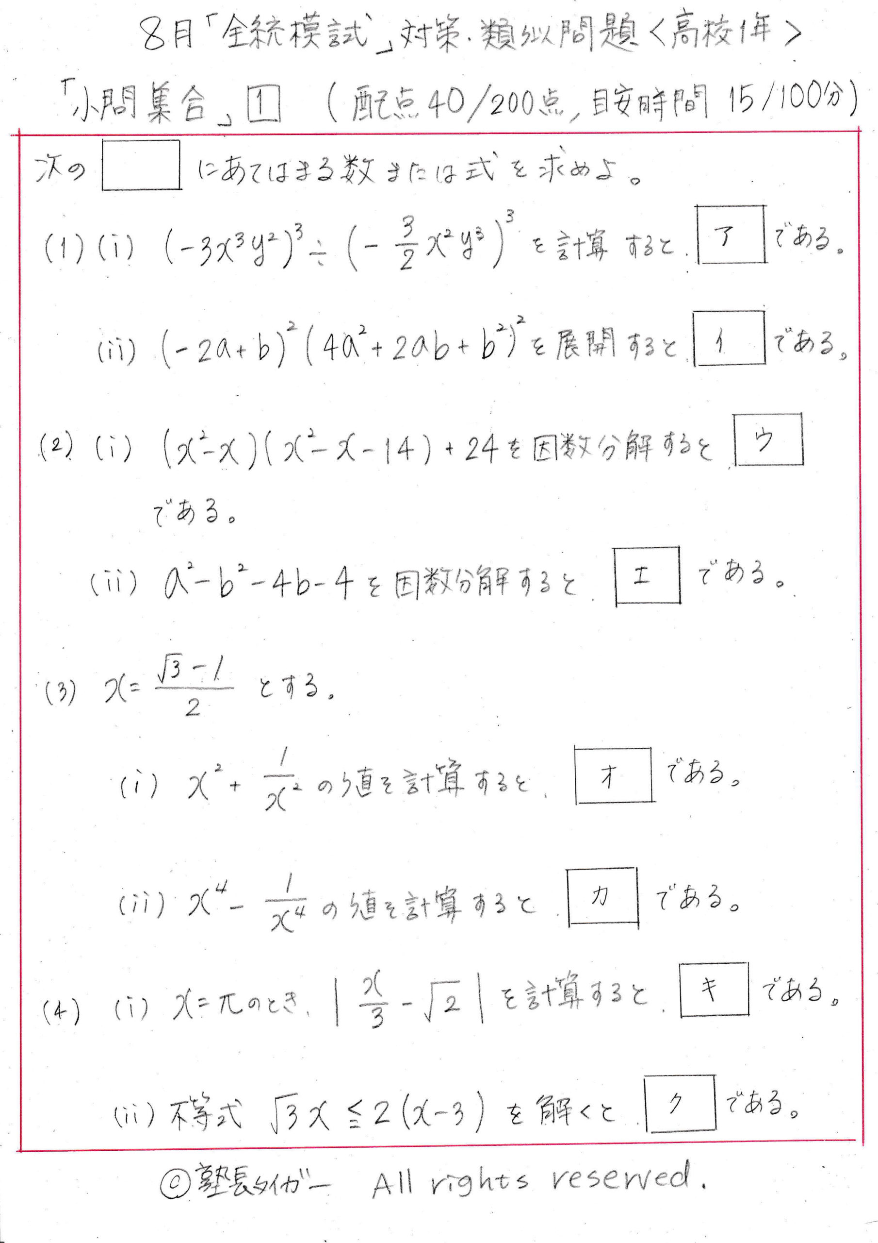
【高1/8月】「全統模試」対策・類似問題/「小問集合」1⃣【動画あり】 カリスマ塾長!タイガーblog

令和2年度 全統記述模試 8月実施 Ⅲ型 ⑦ 数学おじさんのブログ
高1の全統模試の解答と過去問の載っているサイトをおしえてください。 Yahoo!知恵袋

2019年 全統記述模試第2回 国語偏差値69.1 政経偏差値69.0 文系62.7 四日市南高校 I.R君 ノザキ塾

令和2年度 全統記述模試 8月実施 Ⅲ型 ① 数学おじさんのブログ

全統 記述模試 5月実施 Ⅱ型 ⑥ 数学おじさんのブログ

河合塾全統記述模試の結果(長男高3 第一回) 中学受験(受検)のアレコレ|中学受験のブログ

【高3/8月】「全統模試・記述」対策・類似問題/「ベクトル」(ⅡⅢ型共通)1⃣【動画あり】 カリスマ塾長!タイガーblog

全統 記述模試 5月実施 Ⅱ型 ④ 数学おじさんのブログ

★河合塾 全統高1記述模試/英語/数学/国語(解答解説付)2018年1月実施/第4回全統高1模試対策 ★の落札情報詳細 ヤフオク落札価格検索 オークフリー

令和4年度 高1全統模試 問題 ② 数学おじさんのブログ

【最終回】高3 河合塾 18年度 第2回全統記述模試 結果 YouTube

3年「全統模試・記述」10月 Ⅰ型 2⃣ 2次関数 カリスマ塾長!タイガーblog

全統 記述模試 5月実施 Ⅱ型 ⑧ 数学おじさんのブログ

令和2年度 全統記述模試 8月実施 Ⅱ型 ② 数学おじさんのブログ

2022年度 第3回全統共通テスト模試 第3問「場合の数と確率」 飛燕ゼミ

令和2年度 全統記述模試 8月実施 Ⅲ型 ① 数学おじさんのブログ

2018年度 2018年11月実施 第3回 全統高1模試問題 解答 解説集 記述式 河合塾 高1 全統模試 全統記述模試 高校1年 高一(大学受験)|売買されたオークション情報、yahooの

河合塾模試河合模試高2第一回国数英リスニング全統高2模試過去問2018年PDFの通販 by p|ラクマ

2022年度 高3 第2回全統共通テスト模試 数学ⅠA 第3問 場合の数と確率 飛燕ゼミ
メンバーシップ【さか塾生】なら続きの動画視聴可能https://www.youtube.com/channel/UCy19ReDfNZkqnaaUzm4KS9Q/join120分200点満点5題解答1~4..